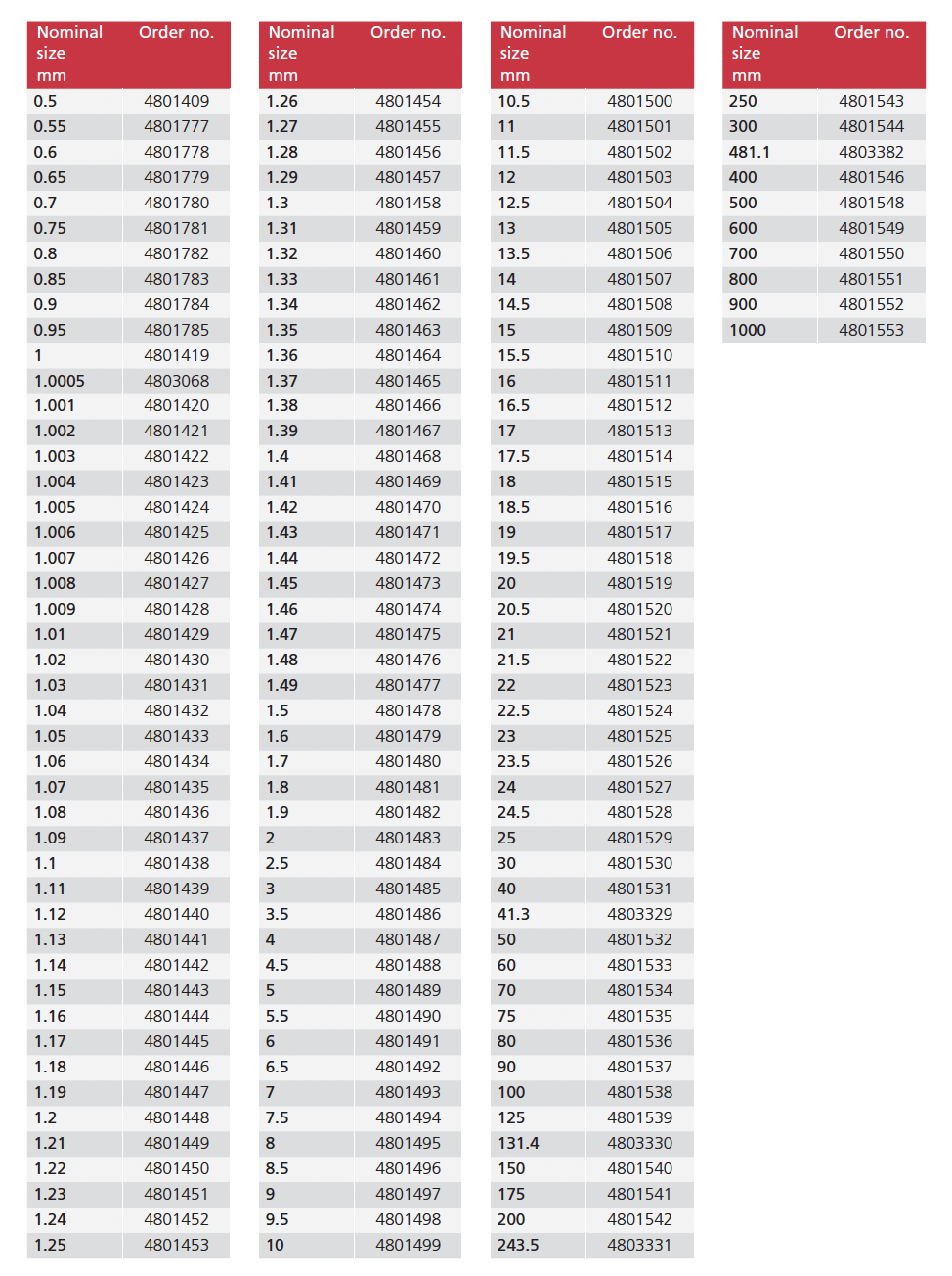
MarGage 417/2 | Rectangular Gage Blocks made of Steel, Tolerance Class 2
FEATURES
• From nominal size 125 mm on, also supplied with wooden case
• Special sizes are available upon request
Tolerance class 2
For checking production gages of quality IT 6 and IT 7. For setting indicating measuring instruments and for checking accurate dimensions in the jig and tool industry.
• Coefficient of linear expansion: 11.5 x 10–6 K–1




